IMAGER FOR MARS PATHFINDER (IMP)
Principal Investigator
Peter H. Smith, University of Arizona
Co-Investigators
Dan Britt, University of Arizona
Lyn R. Doose, University of Arizona
Fritz Gliem, Technical University of Braunschweig, Germany
Ron Greeley, Arizona State University
H. Uwe Keller, Max Planck Institute for Aeronomy, Germany
Jens Martin Knudsen, University of Copenhagen, Denmark
Robert Singer, University of Arizona
Larry Soderblom, United States Geological Survey, Flagstaff
Martin G. Tomasko, University of Arizona
Goals of the Investigation
The major science objectives of the IMP experiment include. (1)
mapping the morphology and terrain of the landing site. (2) Determination
of the mineralogy of the exposed crustal rocks and soil as well
as the mineralogy of the weathering products in the soil, dust,
and on the surface of the rocks. (3) Observation of time-variable
phenomena at the landing site including cloud formation, wind
velocity and direction, frost, and the formation/evolution of
eolian features. (4) Observation of the properties of the martian
atmosphere including measurement of the quantity of atmospheric
water vapor and the quantity and size distribution of atmospheric
dust. (5) Study the magnetic properties of the martian dust by
multispectral imaging of dust accumulations on the magnetic arrays.
(6) Multispectral studies of the nighttime martian atmosphere
by imaging bright stars and the multispectral study of the mineralogy
of the martian moons Phobos and Deimos.
Instrument Description
The Imager for Mars Pathfinder is a binocular CCD-based camera using a Loral 512 x 512 pixel CCD. The camera resembles a 4 by 8 inch cylinder with the long axis aligned horizontally to the plane of the lander (Figures 12 and 13). The square eyes are separated by 15 cm to provide good stereo and ranging performance to support rover operations. The dual optical paths are folded by two sets of mirrors to bring the light to the single CCD. To minimize moving parts, the IMP is electronically shuttered and half of the CCD is masked and used as a readout zone for the electronic shutter. The active half is split into two identical 248x256 pixel sub-arrays for each eye separated by a 12 pixel "dead zone" to minimize cross-talk between the eyes. Readout takes approximately a minute and the data is digitized to 12-bits. The field of view of each eye is 14.4° horizontal by 14.0° vertical with a 18 milliradian toe-in in each eye to provide complete viewing overlap at 5 m distance. The toe-in was to assure maximum stereo performance in the zone 2-10 meters from the camera which is the primary area for rover operations, mineralogical observations, and morphological investigations. The lenses are modified Cooke triplets, designed with rad hard glasses and stopped down to f/18 with a 1.04 mm aperture. The effective pixel resolution of these optics is one milliradian per pixel which gives 1 mm per pixel at one meter range. In the optical path of each eye is a twelve-position filter wheel, giving the investigation a total of 24 filters (Figure 12). Both filter wheels are on a common drive shaft so both wheels move together. Four wheel positions (eight filters) are used for atmospheric investigations and eight wheel positions (15 filters and a diopter lens) are used for geological/stereo investigations. The atmospheric filters are designed for direct observations of the sun through the martin atmosphere and include neutral density coatings that reduce transmission to less than 0.1%. The geology positions include three wheel positions for stereo viewing that have the same filter and one position that has a diopter lens to allow close-up viewing of a magnet mounted on the camera tip plate. This provides a total of twelve separate geology filters for visible and near-IR spectroscopy. A listing of IMP filter characteristics and wheel positions is shown in Table 2. The camera cylinder is mounted on gimbals that provide pointability of 360° in azimuth and -67° to +90° in elevation. This assembly is supported by an extendible mast designed and built by AEC Able Engineering. The mast is an open lattice of fiberglass stiffened by wire that pops up 80 cm above its stowed position (Figure 13). This puts the camera at approximately 1.5 meters above the martian surface and extends Pathfinder's horizon to 3.4 kilometers on a featureless plane. A summary of IMP characteristics and specifications is listed in Table 3.
In addition to the camera, the IMP experiment includes two radiometric
calibration or photometric targets, a number of magnetic properties
targets, three wind socks, four sets of color calibration targets
(5 colors each) and one flat field targets (Figure 6). The flat
field targets, made of rutile (titanium dioxide paint pigment),
are mounted on the tip plate beneath the IMP in view by both eyes
of the camera. The radiometric or photometric targets are mounted
on top of the electronics box and on the base petal. Each consists
of a white (rutile), gray (mixture of rutile and carbon black)
and black (carbon black) ring with a shadow post in the center
with known reflectances. There are four sets of color targets
on the lander (mounted with each photometric and magnetic target)
and two on the rover (along the edge of the solar cell). Each
set of color targets is composed of 5 silicon squares impregnated
with: hematite (red reference), maghemite, goethite, chromium
dioxide paint pigment (green) and cobalt blue paint pigment of
stable and known spectra. Three types of magnetic targets are
mounted on the spacecraft. Two magnetic arrays, each consisting
of two blocks of magnesium with permanent "bulls eye"
Sm-Co magnets of varying strengths (5, 11, 21, 45, 130 T/m) embedded
and a sputtered gray platinum surface. One block contains magnets
of Viking strength; the other block carries three of lesser strength
(Figure 14). One magnet array is mounted on top of the electronics
box, the other on the base petal. The surface of the array is
tilted so that only magnetic dust will adhere to the surface.
A magnet is also mounted on the tip plate with a magnetic field
gradient across it (highest field strength is 130 T/m). A flexible
flat magnet is also mounted at the end of each 1 m long rover
ramp. The magnets are constructed of thin strips of magnetic
material in aluminized Mylar that cover a 10 cm by 10 cm area
magnetized to between 23 mT and 49 mT. Three wind socks are mounted
at heights of 33.1, 62.4 and 91.6 cm above the petal on the ASI/MET
mast. Each windsock (Figure 15) is made of an aluminum cone attached
to a steel and aluminum counterweight rod. The 10 cm long socks
pivot on gimbal mounts attached to 10 cm long struts extending
from the mast.
Data Collection Procedures
Commanding the camera system is accomplished through a sequence
of commands that are time tagged and stored in RAM until they
are required. These commands can either be from already stored
sequences or newly generated sequences that have been unlinked
to respond to changed mission conditions. The basic modes follow
the operational sequences. The first operation after landing
is the release of the launch lock which will allow full operation
of all camera functions. Pre-deployed images are taken and stored
through the use of the imaging command. The image command includes
optional parameters that control the exposure and processing.
Everything from the exposure time to the amount and type of data
compression are specified and attached to the data set. Sub-framing
boundaries and pixel averaging parameters can also be specified.
After processing for data compression the packetized images are
stored in the telemetry buffer. Several types of data compression
are included in the IMP software package. Lossless compression
using the Rice algorithm developed at JPL will be the workhorse
for the IMP images as long as we have a data rate of several thousand
bits per second. For non-science or low data rate scenarios a
lossy compression using a modified JPEG compressor developed at
the Technical University of Braunschweig will normally be used.
Other methods of conserving downlink resources include sub-framing
the image. Examples of this are most of the atmospheric science
images of the Sun which will be returned as 25x25 pixel blocks
centered on the Solar disk. Row and column averages will be used
for sky images, as this gives the gradient and the edges of cloud
features, but not the high resolution of an image. Pixel averaging
can be used where full resolution is not needed. Also, these
methods can be used in combinations for highest compression.
Nature of the Available Data Sets
The standard IMP product will be a single image consisting of
a header that contains the time-tagged command information, a
unique image identifier, and an array of the DN's produced by
that image. Although the IMP takes data in a 248x256 pixel format
the software can use a variety of tools to compress this data.
The major constraint on IMP data sets is the downlink resources
available to Pathfinder. Optimistic scenarios put the downlink
data rate at approximately 5000 bits per second for several hours
per day. As a result large data sets like a color panorama of
the landing site will not be returned quickly and many IMP
investigations will need to conserve downlink bandwidth by a combination
of lossless or lossey compression, subframing, and pixel averaging.
Images with the geology filters will be used for panoramas, true
color mosaics, multispectral image cubes, and multiple sun angle
photoclinometry. Images of the magnetic properties arrays, wind
socks, and calibration targets will be subframed to conserve downlink
bandwidth. Atmospheric science images of the sun will be sub-framed
and averaged. Stereo images will be mosaiced to produce a "virtual
reality" scene of the landing site to support rover operations.
Investigations Planned by the IMP Team
Geomorphology, Photoclinometry, and Topography:: Panoramas
of the landing site will be taken both before and after the camera
mast deployment. These images will map the landing site for rover
operations, as well as study the large-and small-scale structure
of the landing site, rock and dune features, and any erosional
features. Stereo ranging will determine the topography of the
landing site and support rover operations. Images of the same
areas taken at different solar elevation angels will permit topographic
analysis by shadow length and photoclinometry. Additional images
will be taken to study the nature of the martian soil. This will
include imaging the rover wheel tracks to determine soil strength
and compaction properties. Observations of the calibration targets
and the lander surfaces will measure the rate of dust outfall.
Geology and Mineralogy: Filter-wheel spectral mapping
using 12 filter wavelengths spanning 0.45 to 1.0 mm
will determine the compositional variation of the landing site
and identify mineralogical units as targets for further investigation
using the rover-based Alpha/Proton/X-ray Spectrometer. Spectral
mapping will also study weathering processes and products in the
dust, soil, and rock. Of particular interest is the possibility
of a "grab-bag" of mineralogies at the Ares Vallis landing
site. This site was chosen in a catastrophic outwash area to
explore the possibility that a range of mineralogies, including
ancient martian highlands materials, were deposited in this area
by the flood event(s). Nighttime multispectral observations of
Phobos and Deimos can enhance the limited spectral data available
on these small moons. The IMP should be able to detect bright
(0 visual magnitude) stars and use these objects as standards
for removal of the atmospheric signature from the Phobos and Deimos
observations. These observation can also be used for the nighttime
study of the martian atmosphere.
Magnetic Properties of Martin Soil and Dust: The scientific
goal of the IMP Magnetic Properties Experiment is to identify
the magnetic minerals in the martian soil and airborne dust.
Imaging the distribution of magnetic material on the different
strength magnets will be diagnostic of material's mineralogy (Figure
14). Spectral images of the accumulated dust on these magnets
should provide diagnostic mineralogical identification of these
magnetic species. The magnets built into the rover deployment
ramps will put the magnets in close proximity to the soil and
allow the rover to measure the accumulated magnetic dust with
the Alpha Proton X-ray Spectrometer. The magnet mounted on the
camera tip plate is less than 10 cm from the camera windows and
the IMP will use a diopter lens to allow close-up viewing of this
array. This magnet will collect magnetic dust settling from the
atmosphere and its proximity to the camera will provide 200 mm
per pixel resolution of the dust grains. The dust grains are
probably much smaller than 200 mm, but the camera will be able
to resolve chains that grains may form in the magnetic force lines
of the array. The morphology of these chains can be diagnostic
of the mineralogy of the magnetic species.
Atmospheric Water Vapor and Dust: Atmospheric water vapor
will be measured by ratioing solar images through two narrow band
filters, one at the 0.935 mm water
band and one on the continuum at 0.925 mm.
Additional solar images using ratios of narrow band filters at
0.45 and 0.925 mm will provide data
on the size distribution and quantity of atmospheric dust. These
measurements will be made at a number of airmasses from zenith
to the horizon to provide an hourly history of water vapor, dust
loading, and particle size variability for each sol of the Pathfinder
mission. The 12 different geology filter wavelengths can be used
to take multispectral sky images for several applications. Sky
brightness measured at various angles from the Sun at multiple
wavelengths can determine atmospheric particle size and shape.
As the sun sets, illumination is restricted to progressively
higher zones in the atmosphere and a series of multispectral sky
brightness measurements can give us a picture of the vertical
structure of the aerosols in the martian atmosphere. Finally
multispectral measurements of Phobos and its aureole can be used
to detect nighttime condensation and early morning fogs.
Wind Speed, Direction, and Gradient: The IMP Wind Sock
Experiment will measure the direction, speed, and the boundary-layer
velocity profile of the local martian wind by imaging the deflections
and azimuth of the socks. These measurements will allow us to
characterize the eolian processes at the Pathfinder landing site
including particle threshold and the aerodynamic surface roughness.
The socks will be imaged by the IMP every daylight hour to provide
a continuous record of wind parameters. The windsock images will
be sub-framed, processed on-board, and compressed to minimize
the downlink data requirements. The deflections of the socks
under wind velocities have been measured to provide quantitative
data about the wind speed (Figure 16). The azimuth that the sock
"points" indicates the direction of the wind.
Open Areas for Complementary Investigations
It is anticipated that any Participating Scientists attached to
the IMP team will contribute to the generation and validation
of IMP data products. Additional specialization's that can contribute
to the IMP investigation include, but are not limited to, photometry
using Hapke or Lummie/Boule methods, petrology/mineralogy of SNC
meteorites, and the morphology of impact crater ejecta.
ALPHA-PROTON-X-RAY SPECTROMETER
Principal Investigator
Rudolf Rieder, Max-Planck Institut für Chemie, Mainz, Germany
Co-Investigators
Thanasis Economou, University of Chicago
Heinrich Wänke, Max-Planck Institut für Chemie, Mainz
General Goals of Investigation
The objective of the Alpha-Proton-X-ray Spectrometer (APXS) for the Mars Pathfinder mission is to provide a complete and detailed chemical elemental analysis of martian soil and rocks near the landing site. The APXS technique is well established, and can measure all major and minor elements except hydrogen. Because all other major elements are determined to high accuracy, even H can often be estimated from stoichiometry. We presently have only coarse soil chemistry of Mars at the two Viking landing sites. Viking, however, had no means of determining C, N, O, and Na which are vital to understanding the history and the evolution of the planet, so the APXS experiment will fill important gaps in our knowledge of Mars.
The primary focus of the APXS investigation is new measurements
of the chemistry of martian rocks. The APXS instrument is carried
aboard the Pathfinder microrover, which will provide transportation
to places of interest on the surface. The possibility to transport
the APXS to an arbitrary location, pre-selected on Earth, and
to perform in-situ analysis at it, constitutes one of the most
exciting scientific aspects of the Pathfinder mission. Chemical
analyses of several rocks at the landing site will therefore shed
light on a variety of important processes that have operated on
Mars.
Measurement Techniques
The principle of the APXS technique is based on three interaction of alpha particles from a radioisotope source with matter: (a) simple Rutherford backscattering, (b) production of protons from reactions with the nucleus of light elements, and (c) generation of characteristic X-rays upon recombination of atomic shell vacancies created by alpha bombardment.
Measurement of the intensities and energy distributions of these
three components yields information on the elemental chemical
composition of the sample. In terms of sensitivity and selectivity,
data are partly redundant and partly complementary: Alpha backscattering
is superior for light elements (C, O), while proton emission is
mainly sensitive to Na, Mg, Al, Si, S, and X-ray emission is more
sensitive to heavier elements (Na to Fe and beyond). A combination
of all three measurements enables determination of all elements
(with the exception of H) present at concentration levels above
typically a fraction of one percent.
Alpha Backscattering (Alpha Mode): Elastic collisions
between alpha particles and atoms of a target (sample) material
lead to a change in direction and energy of these particles. The
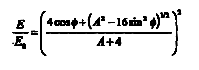
energy E of a scattered alpha-particle, in relation to
its initial energy E0 is a function
of the mass A of the target atom and the scattering angle
f:

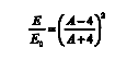
For a scattering angle of f
= 180° ("Backscattering") this reduces to:

In the case of a thick sample, alpha particles will be scattered
at various depth along their path. Before scattering they will
have lost energy in the sample and the scattered particle will
lose additional energy on its way out of the sample. The resulting
energy distribution is a generally flat spectrum, extending from
0 to a sharp cutoff at a maximum energy determined by E/E0
which is characteristic for the scattering
element. The total number of particles registered in the spectrum
is a measure for the number of atoms of the scattering element
in the sample; i.e. its concentration in the sample. These two
facts are the basis for analytical applications of alpha backscattering.
Proton Emission (Proton Mode): Another process important
for analytical applications is the nuclear reaction, in which
Alpha particles merge with the target nucleus, followed by the
emission of a proton and, in some cases, gamma radiation. This
process is characterized by the Q-value, i.e. the difference
in binding energy of the alpha-particle and the target nucleus
on the one side and of the proton and the product nucleus on the
other side. This process is energetically possible, when the
kinetic energy of the incoming alpha-particle Ea
exceeds the difference in binding
energy Q; the excess energy is transferred to the kinetic
energy of the proton Ep
and the energy of an associated gamma transition Eg:
Ep + Eg
= E a
+ Q
This process is of particular interest in the case of the light
rock-forming elements Na, Mg, Al and Si, where Q-values
range between -2 MeV and +2 MeV and the reaction cross sections
for alpha-particles of 5 to 6 MeV are not too small. This is
due to the fact that alpha-particles have to penetrate the Coulomb
barrier of the nucleus, before the nuclear reaction can take place,
and this is determined by the nuclear charge of the target nucleus.
X-ray Generation (X-ray Mode): The alpha particles from the radiation sources used in the alpha and proton modes are also used as a very efficient excitation source for production of characteristic X-rays from the sample material. Actually, charged particle excitation is preferred to any other kind of excitation since it produces the best signal-to-noise ratio due to absence of any Compton scattering. This advantage significantly improves the performance of the instrument..
The analytical information in the X-ray mode comes from the characteristic X-rays that are emitted when the low electron orbit vacancies (in K and L shells) produced by bombardment of atoms by alpha particles are filled by electrons from higher orbits. The alpha particle sources can excite characteristic X-rays in a sample in two ways. First, the interaction of the alpha particles with the electronic cloud of an atom has a probability of producing a vacuum in the K electronic shell of the target. Second, alpha radioactive sources such as 244Cm are also strong emitters of L X-rays themselves. These have energies of ~0.015 to 0.022 MeV, and can produce characteristic X-rays in the measured sample.
In addition, the X-ray mode of the APXS is very helpful in another
way. While the alpha mode has very good resolution for separating
the light elements, it starts to have problems in separating the
neighboring elements above about the element silicon. The opposite
is true for the X-ray mode; it has its best resolution exactly
where the alpha mode has the worst resolution.
Instrument Description
The APXS instrument shown in Figure 17 consists of two parts:
The sensor head on the right and the electronics box on the left.
The sensor head is mounted on a deployment mechanism outside
the Pathfinder microrover's Warm Electronics Box (WEB). The electronics
box is contained inside the WEB. The sensor head is connected
to the electronics box via four coaxial cables (alpha-, proton-
and X-ray signals; X-ray bias voltage) and six single wires (power
for the X-ray preamplifier and the shutter motor; temperature
sensor). Table 4 lists the mechanical and electrical specifications
of the instrument.
APXS Sensor Head: The sensor head contains nine 244Cm sources in a ring-type geometry and three detectors for the measurement of the three components: a telescope of two Si-detectors for the measurement of alpha-particles and protons and a Si-PIN X-ray detector with its preamplifier.
Figure 18 shows the geometrical arrangements of all components of the sensor head. Sources are contained in their own holder and are protected by a motor-driven shutter of 0.2 mm thick stainless steel blades and very thin (typically 200 nm thick) foils of alumina and VYNS. Collimators, delineating the area to be analyzed, are placed in front of the detectors, rather than in front of the sources, as this yields a more compact design. These collimators have been designed for a nominal working distance (distance between sample surface and collimator front face) of 4 cm. This distance is, however, not very critical and may in a real situation vary by as much as ±0.5 cm.
Figure 19 is a photograph, showing the APXS sensor head, mounted
with the deployment mechanism on the back of the rover. A color
camera mounted on the back of the microrover is visible to the
right side of the APXS. This camera will provide close up images
of all samples analyzed by the APXS. Additional images of the
same region in several filters will also be acquired by the IMP.
244Cm Alpha Radioactive
Sources: The APXS needs for
its operation in alpha, proton and X-ray modes a beam of alpha
particles with high intensity and low energy spread. The intensity
of the beam determines the total measurement time needed to obtain
data with the necessary statistical accuracy; its energy spread
directly determines the resolving capability of the alpha mode.
The APXS is using 50 mCi of 244Cm,
with an alpha particle energy of 5.8 MeV and a half life of 18.1
years. This isotope is readily available in large quantities
from several sources, but it must be purified and specially prepared
for the APXS instrument. The sources are prepared by evaporation
onto silicon backing wafers, and then fired at a high temperature
to form silisides that exhibit high stability. To minimize self-absorption
and degradation of their monochromatic energy, we use a set of
9 sources, each with 5-7 mCi of activity. A combination of Al2O3
and VYNS thin films in front of the sources prevents the contamination
of the instrument from the recoils after an alpha decay of a nucleus
in the source material. A very light mechanical shutter in front
of the sources, controlled by a tiny motor, protects the films
between launch and rover deployment, and also provides for the
safety of the instrument and personnel.
Electronics for the APX Spectrometer: Basically, the electronics of the APXS consists of three independent analog channels for each of its modes: alpha, proton and the X-ray channel, and the digital electronics to condition signals and handle the data produced by the instrument. All of the APXS electronics, except for the X-ray preamplifier, is inside the rover warm electronic box, the temperature of which will be controlled within a range of -50°C to +50°C, using power from the batteries and auxiliary thermal energy. The temperature of the sensor head, including the X-ray preamplifier will be at Martian ambient temperature, expected to be in the range of -100°C to +10°C.
Fig. 4 shows the block diagram of the electronics system for the
APX Spectrometer. Six individual building blocks are indicated
by dashed lines. They consist of the sensor head with alpha,
proton and X-ray detectors (with the X-ray preamplifier) and five
printed circuit boards with the following: (1) the analog section
for the alpha- and proton detector, up to and including peak detector/stretcher;
(2) the analog section for the X-ray detector, up to and including
peak detector/stretcher; (3) serial A/D and D/A converters, voltage
reference source and buffer amplifiers; (4) microcontroller with
program PROM, data RAM, serial I/O, a watchdog/power monitor circuit
and a backup battery; (5) the voltage converter for the X-ray
detector bias, power line filters and the interface connectors
(not shown). The system performs the tasks of amplifying and
conditioning individual pulse signals from three detectors, measuring
their amplitude, which in turn is a measure of the energy, a charge
particle or an X-ray photon has deposited in the detector, and
counting the number of events in 256 pulse height intervals per
detector.
APXS Deployment Mechanism
One of the most exciting aspects of the Mars Pathfinder APXS experiment
is the way it will be deployed to analyze martian surface soil
and rock samples. In contrast to the Russian Mars-96 mission,
in which the APXS instrument is deployed after the landing on
a one degree of freedom arm enabling it to analyze whatever single
sample happens to be under the instrument, the APXS on the Mars
Pathfinder is mounted on one end of rover that provides mobility
and the opportunity to analyze multiple soil and rock samples.
The deployment mechanism was designed at JPL as part of the rover
(Figure 5) in a such a way that the APXS can be deployed vertically
to the ground or horizontally against any rock that looks interesting
and was pre-selected by the lander or rover images. The deployment
mechanism is a very ingenious device, being operated with only
one motor, but providing compliance to the analyzed sample shape.
Contact switches and spring coils makes the design simple and
dependable.
APXS Data and Analyses
Flight Software for the APX Spectrometer: The general
concept for the flight software is the following. After a power-on
reset, the APXS microcontroller performs initialization and then
enters a low power "sleep" (idle) mode. From this mode
it is "woken up" by external interrupts to perform various
tasks in interrupt - service routines. These tasks are: response
to commands received through the Serial Interface, response to
Timer 0 signals to periodically increment a counter for the measuring
time, combined with periodic temperature measurements and the
associated readjustment of D/A-settings, and response to signals
from the analog electronics to perform signal amplitude analysis
and multichannel storage.
Martian Surface Soils and Rock Measurements: The APXS
will analyze at multiple rock and soil samples in the vicinity
of the landing site. The strategy is to obtain the first soil
analysis right after the landing on the first night on the surface.
On the second day, after analyzing the images of the landing
site, an appropriate rock sample will be chosen and the rover
will be commanded to place the APXS to analyze it. Most of the
time the APXS will be operating during the night time, when there
is no other activity going on. Later in the mission, daylight
measurements will be also performed to see if there are any condensation
processes happening during the night time. Under nominal rover
conditions, it may be possible to obtain a new APXS spectrum every
night during the first week of operation.
Data Analysis: Measurements with the APX Spectrometer yield three data sets: (1) a spectrum of backscattered alpha particles, (2) a spectrum of protons generated by nuclear processes and (3) a spectrum of characteristic X-rays emitted from the sample upon excitation with alpha particles and X-rays. Within certain constraints (mainly matrix effects) all three spectra can be considered linear superpositions of spectra of all elements present in the sample, multiplied with an appropriate scaling factor linked to their abundance in the sample:
The alpha spectrum is the sum of back-scatter spectra of all elements with atomic mass greater than 4 (He, this is due to the physics of the back-scattering process); the proton spectrum is the sum of proton spectra emitted by elements, for which nuclear reactions take place (mainly Na, Mg, Al, Si and S) and the X-ray spectrum is the sum of X-ray spectra emitted by all elements heavier than Na (determined by the type of detector). In principle, abundance figures can be derived from each of the three types of spectra; in practice, a combination of the results is required to overcome certain limitations of each approach and improve the accuracy of the results:
In the alpha spectra, the low resolving power of the instrument
for elements heavier than Mg and the statistical counting errors
of the data do not permit accurate distinction between the major
rock forming elements Mg, Al and Si. On the other hand, these
are the main elements contributing to the proton spectra. The
X-ray spectra provide information on elements heavier than Na,
but matrix effects (absorption and secondary fluorescence) play
a more important role, than in the case of alpha and proton spectra.
The approach taken is therefore an iterative one, in which the
alpha and proton spectra are combined and the complex sample spectrum
is decomposed into its individual components, using a least square
fitting procedure with a library of standard spectra, and applying
appropriate corrections for matrix effects. As the alpha-proton
spectra contain information about all elements heavier than He,
neglecting the lightest elements, the results can be normalized
to add up to 100%. Then the X-ray spectra are analyzed, using
a library of standard spectra and added to the results from the
first step for matrix corrections. This step yields improved data
for the ratios of the elements Na through Ni, which are used in
a second least squares fit of the alpha-proton spectra.
Magnetic Target Measurements: During operations on the
surface of Mars, the APXS will analyze many samples of martian
soil and rocks. It is, however, also anticipated that the APXS
will analyze several magnetic targets mounted on the rover ramps
to provide information about the magnetic properties of the martian
surface material. By analyzing the collected material with the
APXS it will be possible to determine if there is any preferential
separation of the collected material according to the magnetic
properties of the material. The spectra of the magnetic targets
obtained will be compared with the laboratory spectra obtained
during the calibration of the APXS instrument. From these measurements,
it is expected to determine some of the iron mineralogy of the
martins surface material.
Investigations Planned by the APXS Team
The APXS team will provide the chemical elemental analyses of
all the samples obtained from the surface of Mars utilizing the
standard elemental library obtained during the pre-launch calibration
of the instrument and computational techniques described above.
For each element an associated uncertainty, based on the statistical
error and the error of the method will be determined. From the
complete analyses obtained by the APXS an attempt will be made
to interpret the data and possible mineralogical analogs will
be suggested. The data will also be scrutinized to established
any resemblance to the SNC rock analyses that would confirm their
martian origin.
Open Areas for Complementary Investigations
1. Normative mineralogy derived from a complete elemental analysis.
2. X-ray analysis using fundamental parameter approach.
3. Interpretation and importance of the obtained elemental analyses
in understanding the planet Mars.